テラヘルツ波を用いた塗装膜モニタリング技術
1.緒言
自動車ボディを始めとした様々な工業製品においては、基板(素地)の防腐・防錆・防水・色彩効果の目的から、表面塗装が施されている。塗膜の厚さムラ(不均一性)や品質不良(乾燥不十分、気泡・異物混入、剥離他)はこれらの効果を低下させることから、塗膜測定は塗装製品の品質管理のために重要である。これまでは、塗膜や基板の種類によって膜厚計(電磁誘導式、渦電流式、超音波式)が選択されてきたが、いずれも接触式であるため、これらの膜厚計では乾燥した塗膜(ドライ膜)しか計測できなかった。その結果、塗装完了後に膜厚をチェックするパッシブな膜厚管理が行われてきた。もし、非接触リモートに、乾燥状態(ドライ膜、ウェット膜)を問わず膜厚測定が実現できれば、塗装工程におけるインプロセス・モニタリングが可能になり、アクティブな膜厚制御型塗装技術に貢献すると考えられる。その結果、塗装品質の向上とともに製品の歩留まりが改善され、塗装ライン工程における生産効率が大幅に向上することが期待できる。また、塗装材料の省資源化や塗装時のシンナー使用量を削減でき環境にも優しい。
非接触リモート計測のための手段として最初に思い浮かべるのが光学的手法であるが、塗膜は可視領域では不透明であるため、その適用は困難である。そこで、我々は、テラヘルツ電磁波パルス(THzパルス)に着目した。THz領域(周波数=0.1〜10THz、波長=30〜3000µm)は、ちょうど光波と電波の境界に位置し、これまで光源と検出器の制限から、ほとんど研究が行われていない未開拓な電磁波領域であった。しかし、最近の安定な近赤外超短パルスレーザーの出現とTHz発生・検出デバイス技術の発達により、THz領域の超短パルスの発生及び検出が容易になり、この領域の研究開発(THzテクノロジー)が加速している。THzテクノロジーは、国家基幹技術10大戦略の1つに挙げられると共に、10年後の市場規模は2兆円に達すると予測されている。THzパルスは、光波と電波の境界に位置するということから、その両者の性質を有するユニークな電磁波である。具体的には、@自由空間伝搬、A非金属物質に対する良好な物質透過性、B低エネルギー・低侵襲、Cコヒーレント(レーザー光のように空間的及び時間的に干渉しやすい)ビーム、D超短パルス、E広帯域スペクトル、Fイメージング測定や分光測定が可能、といった特徴を有しており、非破壊検査・セキュリティなどの分野における新しいセンシング手段として注目されている1, 2)。ここでは、THzパルスを用いた塗膜モニタリング技術(THz塗膜計)に関する研究成果3-8)を紹介する。
2.測定原理
THz塗膜計の測定原理を図1(a)に示す。THzパルスを基板上に施された単層塗膜に入射させると、屈折率の不連続点である塗膜表面(空気—塗膜境界@)及び塗膜裏面(塗膜—基板境界A)でTHzエコーパルスがそれぞれ反射される。これらのTHzエコーパルスの時間波形を観測すると、図1(b)に示すように各境界からのTHzエコーパルスが時間的に分離されて戻ってくる。この時間遅延Dtは、塗膜の群屈折率(パルス光の伝搬速度が真空中に比べ遅くなる割合)をng、膜厚をd、真空中の光速をcとすると、以下のような式で与えられる。
Dt = (2ngd)/c (1)
したがって、ngが既知であるならば、測定したDtから、膜厚dを決定することが可能になる。このようにTHz塗膜計の原理は超音波エコーに類似しているが、その利点は、非接触リモート測定が可能である以外に、各種の塗膜や基板材、多層膜、ウェット膜、膜厚ムラ計測にも拡張可能である点である。

図1 (a)測定原理と(b)THzエコーパルスの時間波形
3.膜厚計測
3,1 点計測型THz塗膜計3, 5, 6, 8)
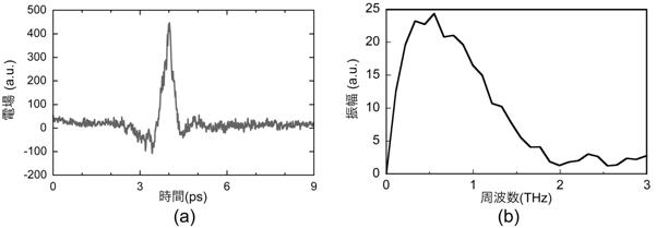
図2に点計測型THz膜厚計の実験装置図を示す。THzパルスの発生及び検出には、フェムト秒パルスレーザー(モード同期チタン・サファイアレーザー)と光伝導アンテナ(PCA)を用いる。レーザー光はビームスプリッターを用いて、THz発生用ポンプ光とTHz検出用プローブ光に分離される。ポンプ光をTHz発生用PCAに入射することによりTHzパルスが自由空間に放射される。シリコンレンズと軸外し放物面鏡1でコリメート(平行光線ビームにすること)されたTHzパルスは、シリコン・ビームスプリッターで一部反射された後、軸外し放物面鏡2を用いて塗膜サンプルに点集光される。サンプルからのTHzエコーパルスは、軸外し放物面鏡2で再度コリメートされシリコン・ビームスプリッターを透過した後、軸外し放物面鏡3によってTHz検出用PCA(または電気光学結晶)に入射される。ここで、ピコ秒オーダーのTHzパルスの時間波形を直接リアルタイム測定することは、検出エレクトロニクスの帯域不足により不可能であるため、一般にポンプ・プローブ法を用いられる。この方法では、THzパルスとプローブ光の光路長を調節することにより両者が同じタイミングでTHz検出用PCAに入射すると、プローブ光によってTHzパルス電場の一部が時間的に切り出され、それに比例した電流信号がPCAから出力される。プローブ光のパルス幅(100fs程度)はTHzパルス(1ps程度)に比べて十分に短いので、プローブ光の時間遅延を機械式ステージにより連続的に変化させながらその電流信号をロックインアンプでサンプリング測定することにより、THzパルス全体の電場時間波形が再現できる。本装置の基本特性は、パルス幅0.4ps、スペクトル帯域0.1〜2THz、測定SN比100(測定時間1秒)であった。

図2 点計測型THz塗膜計
図3は、本装置で実際に測定された単層塗膜(アルミフレーク入りメタリック塗装)のTHzエコーパルス信号示しており、2つのTHzエコーパルスが時間的に分離されている様子が確認できる。次に、黒アクリル塗料と白エナメル塗料を用いて様々な厚さの塗膜サンプルを作成し、THz塗膜計で膜厚計測を行った結果が図4である。横軸は市販の接触式膜厚計(渦電流式、精度=±3%)で測定した膜厚(d)で、縦軸は時間遅延量と塗膜の光学的厚さ(ngd)を示している。両塗膜サンプルにおいて良好な線形関係が得られており、実測値と近似直線のばらつきから膜厚精度は4µmである。また、近似直線の傾きは群屈折率(ng)に対応しており、黒アクリル塗膜で1.812、白エナメル塗膜で2.612となり、異なる塗膜において比較的大きな相違があることが分かった。一方、膜厚分解能(dmin)は、以下の式で与えられる。
dmin = (cDT)/(2ng)
すなわち、膜厚分解能はTHzパルスの時間幅(DT)とサンプル群屈折率(ng)によって制限され、図4の黒アクリル塗膜では40µmであった。膜厚分解能より薄い塗膜を計測した場合には、2つのTHzエコーパルスが時間的に重なることになり、2つのTHzエコーパルスの遅延時間から膜厚を求めるという簡便な手法では正確に膜厚を決定できなくなる。そこで、重回帰分析(回帰分析の独立変数が複数になった多変量解析手法)による重畳波形分離解析(複数成分の重なった信号波形から各成分を分離抽出する信号解析手法)を行ったところ、膜厚分解能が20µmまで改善された。さらに、10fs以下の極超短パルスレーザーを用いてTHzパルス幅を狭窄化することにより、10µm以下の膜厚分解能が実現可能と考えられる。
|
|
|
|
図3 単層塗膜(メタリック塗装)のTHzエコーパルス波形 |
図4 THz塗膜計を用いた膜厚測定結果 |
次に、図2の実験装置においてサンプル位置を2次元的(10mm*10mm領域, 1mm間隔)に走査することにより、膜厚ムラの計測を行った。多層塗膜サンプル(第1層:黒アクリル塗膜、第2層:白エナメル塗膜、基板:ポリエチレン板)を測定した結果を図5(a)に示す。従来の接触式膜厚計では測定困難であった各塗膜の詳細な膜厚ムラ分布が可視化できており、それぞれの膜厚ムラは239±33µm(平均値±標準偏差)と158±11µmとなった。一方、塗膜の剥離は、塗装の防腐・防錆効果を低下させ基板材料の機械的特性を劣化させる重大な品質欠陥であるが、従来法ではその検出が困難であった。一方、THz塗膜計を用いた場合、剥離部で新たなTHzエコーパルスが発生するため、これを利用することにより剥離部の検出が可能になる。図5(b)は、一部剥離した単層塗膜(塗膜:白エナメル塗装、基板:アルミ板)の測定結果を示している。正常部では塗膜表面(空気—塗膜境界)及び塗膜裏面(塗膜—基板境界)からのエコーが観測されるのに対し、剥離部では塗膜表面(空気—塗膜境界)、塗膜裏面(塗膜—空気境界)及び基板表面(空気—基板境界)の3つのエコーが観測されるため、剥離状態を図5(b)のように可視化することが出来る。

図5 膜厚ムラ計測。(a)2層塗膜と(b)剥離した単層塗膜
3,2 実時間2次元THz塗膜計4, 7, 8)
上述の点計測型THz塗膜計を用いることにより、THzパルスを用いた膜厚計測の有用性を確認することができた。一方、点計測型THz塗膜計では機械式時間遅延走査を利用したポンプ・プローブ法に基づいて間接的に時間波形を取得しなければならないため、THzエコーパルス時間波形(ピコ秒オーダー)を1つ取得するのに数秒〜数分前後の測定時間が必要となる。2次元断層イメージを取得するためには、さらにビーム照射位置を1次元的に走査しなければならない。その結果、画像取得に時間(数分〜数時間)がかかり、本手法の応用性を著しく制限してきた。このような機械的な走査を無くし、リアルタイムで2次元断層像が取得できれば動体サンプルにも適用でき、THz塗膜計の応用性は飛躍的に高まるはずである。
ここで、THz波の光としての並列性に注目し、電気光学的時間—空間変換(電気光学結晶内でTHz電場時間波形をレーザー光の空間強度分布に変換すること)と線集光THz結像光学系(サンプルに線集光されたTHzラインビームをTHz検出用電気光学結晶に結像するためのTHz光学系)を利用すれば、機械的走査機構を必要とすることなく、2次元断層分布の取得が可能になる。本手法の原理図を図6に示す。サンプルから反射されたTHzエコービームとプローブビームを電気光学結晶(印加電界に依存して屈折率が変化する結晶)に非共軸入射し波面同士を面として重ねると、電気光学的時間—空間変換により、THzエコーパルスの時間情報がプローブビームの空間強度分布に変換される(図6では偏光子ペアを省略)。ここで2次元イメージング検出器(CCDカメラ)を用いた場合、時間波形情報は水平座標方向に展開されるので、残りの垂直座標をサンプルの1次元イメージングに利用できる。そこで、サンプルに対して円筒レンズを用いた線集光THz結像光学系を導入することにより、実時間で2次元時空間THzイメージを取得する。このようにして得られたイメージの時間軸は深さ情報に対応していることから、THz集光ラインビームに沿ったサンプルの2次元断層イメージを直接的に取得できる。本手法では、機械的走査機構が一切不要で、原理的にレーザーの単一ショットパルスでの計測が可能である。図7に本装置の基本特性を示す。

図6 実時間2次元THz塗膜計

図7 実時間2次元THz塗膜計の基本特性。(a)時間特性と(b)スペクトル特性
本手法の有用性を確認するため、ベルト・コンベヤー上の塗装製品を想定し、動体サンプルへの適用性を評価した。サンプルはアルミ板上の半分の領域に白アルキド塗装(膜厚175µm)を施したものを用いた。この塗膜サンプルを、THzビームの集光ライン方向に沿って連続的に移動させながら(移動速度5mm/s)、2次元断層THzムービー(イメージ領域:6ps×5mm、毎秒10フレーム)を取得した。図8は3つのTHzビーム照射位置におけるスナップショットを示しており、水平軸が深さ分布、垂直軸がTHzラインビームに沿った1次元空間分布に対応している。イメージのグレースケールはTHzエコーパルス電場の正負電場強度を示している。非塗装部分では、アルミ板表面からのTHzエコー信号が2.8psの位置に現れており、アルミ板表面が平らで内部構造を有しないため1本の垂直ライン状となっている。[図8(a)]。次に塗装部分では、塗膜表面及び塗膜-アルミ板境界からのTHzエコー信号が時間的に分離(2.3ps及び4.5ps)されているのが確認できる[図8(c)]。また、白アルキド塗装の群屈折率(2.14)と時間遅延から算出した膜厚スケールは同図上部の水平軸に示されている。例えば、測定領域1〜4mmにおける膜厚ムラ分布は162±21µmであった。非塗装部分と塗装部分の境界では、1つのTHzエコー信号と2つのTHzエコー信号が混在している様子が確認できる[図8(b)]。このように、THzビーム照射位置の移動により2次元断層イメージが連続的に変化しており、本手法が動体サンプルの2次元断層分布の実時間モニタリングに有効であることが分かる。

図8 移動塗膜の計測
4.乾燥状態モニタリング3-8)
塗膜の塗装工程におけるインプロセス計測を考えた場合、膜厚測定と共に望まれるのが、乾燥状態のモニタリングである。塗膜がウェット状態からドライ状態へと変化することによって、すなわち乾燥状態によって塗膜のTHz分光特性(屈折率、吸収)が変化すれば、その特徴を利用して乾燥状態のモニタリングが可能であると考えられる。そこで、塗膜のTHz分光特性をTHz時間領域分光法(THz-TDS)で評価した。THz-TDSでは、THzパルスの電場時間波形をポンプ・プローブ法によって測定し、それをフーリエ変換することにより振幅及び位相の周波数スペクトル(フーリエ・スペクトル)を得る。したがって、サンプルが有る場合と無い場合のフーリエ・スペクトルの比較から、サンプルのTHz分光的特性(吸収係数、屈折率)を得ることが出来る。一般的な透過型THz-TDS装置9)を用いて、白エナメル塗料のドライ膜及びウェット膜のTHz分光測定を行った結果が図9である。吸収係数および屈折率のいずれにおいても、ドライ膜とウェット膜で大きな相違が確認できる。すなわち、塗膜のTHz分光特性は、乾燥状態に依存して、ウェット膜からドライ膜の方にシフトしていくことになる。

図9 ドライ膜及びウェット膜(いずれも白エナメル塗料)のTHz分光特性。(a)吸収係数と(b)屈折率のスペクトル。
図9に示したような乾燥状態に依存したTHz分光特性の変化は、時間領域のTHzエコーパルスでは時間波形の経時的変化として観測されると考えられる。そこで、アルミ板上に施した速乾型黒アクリル塗装がウェット膜からドライ膜に変化する過程を点計測型THz塗膜計で計測した(図10)。THzエコーパルスの時間波形が、塗装終了直後(0分)から経時的に変化している様子が確認できる。この経時変化を定量的に評価するため、重回帰分析による重畳波形分離解析を行い、サンプルの群屈折率を抽出したのが図11である。今回用いた塗料サンプルのドライ膜の群屈折率は既知(=1.81)であるので、その相違から乾燥状態をモニタリングすることが出来る。
|
|
図11 乾燥の進行に伴う群屈折率の変化 |
|
図10 乾燥の進行に伴うTHzエコーパルス波形の変化 |
|
3.2で紹介した実時間2次元THz塗膜計の特徴は、非接触リモート特性と実時間性である。このような特徴は、動体サンプル以外に、ウェット膜の計測に対しても有用である。そこで、乾燥過程の進行に伴う塗膜の断層イメージの経時変化を実時間2次元THz塗膜計で計測した(図12)。図8(c)と同様、時間的に分離された2つのTHzエコーパルス信号が確認できる。ここで、左側のエコー信号の時間的変化はサンプル表面位置の変位(dの変化)を反映しているのに対し、2つのエコー信号の時間間隔は光学的膜厚(ngd)に対応している。それぞれの経時変化をプロットしたのが図13であり、乾燥の進行に伴い塗膜が幾何学的及び光学的に収縮している様子が確認できる。また、その変化が10分過ぎからプラトーになっていることから、乾燥がほぼ完了したと推測できる。

図12 乾燥の進行に伴う2次元断層分布の変化
5.結論
THzパルスを用いた新しい塗膜モニタリング技術として、THz塗膜計を紹介した。THz塗膜計の特徴(非接触リモート、実時間性、イメージング計測など)を利用することにより、ベルトコンベヤー上を流れる塗装製品の全数検査や塗装工程のインプロセスモニタリングが可能になると期待される。また、接触式膜厚計を用いた保守点検が困難な大型構造物(例えば、橋梁や船舶10)など)や塗膜下の基板腐食の評価にも有効であると思われる。さらに、工業計測だけでなく、古代絵画評価への応用に関する研究11, 12)も近年注目されており、これからの技術動向に目を離せない。
参考文献
1) テラヘルツテクノロジーフォーラム編:”テラヘルツ技術総覧”, NGTコーポレーション社 (2007)
2) D. M. Mittleman: ” Sensing with THz radiation”, Springer (2003)
3) T. Yasui, T. Yasuda, K. Sawanaka, T. Araki: Appl. Opt., 44[32], 6849 (2005)
4) T. Yasuda, T. Yasui, T. Araki, E. Abraham: Opt. Comm., 267[1
], 128 (2006)
5) T. Yasuda, T. Iwata, T. Araki, T. Yasui: Appl. Opt., 46[30],
7518 (2007)
6) 安井武史、荒木勉: 光アライアンス, 14[4], 18 (2003)
7) 荒木勉、安井武史: 検査技術, 11[1], 41 (2006)
8) http://sml.me.es.osaka-u.ac.jp/araki_lab/research/thz/
9) T. Yasui and T. Araki: Jpn.
J. Appl. Phys., 44[4A], 1777
(2005)
10) D. J. Cook, S. J. Sharpe, S. Lee, and M. G. Allen: Optical
Terahertz Science and Technology (Topical meeting of Optical Society of
America), Technical Digest, TuB5 (2007)
11) 15. K.
Fukunaga, Y. Ogawa, S. Hayashi and I. Hosako: EICE Electron. Express, 4,
258 (2007)
12) J. B. Jackson, M. Mourou, J. F. Whitaker, I. N. Duling III, S.
L. Williamson, M. Menu, and G. A. Mourou: Opt. Commun., 281[4], 527 (2008).